金鑫宇電源(深圳)有限責任公司
電話:0755-28889315
傳真:0755-28889316
業務經理:18688922986
技術支援:13632860590
郵箱:huwuzai@126.com
地址:深圳市龍崗區同樂社區園新路38號
電動車充電器都是由電子元器件構成的,以下內容在沒有特別說明的情況下,都是針對電動車充電器而言的。要弄懂電動車充電器就必須了解這些元器件的作用和原理。本章針對電動車充電器所用元器件進行詳盡分類和系統分析。

電動車充電器所用元件主要有:電阻、電容、二極管、三極管、場效應管、集成電路等,下面將分別介紹。 一、電阻 電阻,英文名resistance,縮寫為R,它是導體的一種基本性質,與導體的尺寸、材料、溫度有關。通常在電子產品中所指的電阻,是指電阻器這樣一種元件。電阻的主要物理特征是變電能為熱能,也可說它是一個耗能元件,電流經過它就產生內能。
電阻在電路中通常起分壓分流的作用,對信號來說,交流與直流信號都可以通過電阻。歐姆定律說,I=U/R,那么R=U/I,電阻的基本單位是歐姆簡稱為歐,用希臘字母“Ω(希臘字母,音譯成拼音讀作 ōu mì gǎ )”表示,有這樣的定義:導體上加上一伏特電壓時,產生一安培電流所對應的阻值。電阻的主要職能就是阻礙電流流過,應用于限流、分流、降壓、分壓、負載與電容配合作濾波器及阻匹配等.數字電路中功能有上拉電阻和下拉電阻。比較大的單位有千歐(kΩ)、兆歐(MΩ)(兆=百萬,即100萬)。他們的換算關系是: 1MΩ=1000KΩ 1KΩ=1000Ω
1、電阻器的種類
電阻器的種類有很多,通常分為三大類:固定電阻,可變電阻,特種電阻。在電子產品中,以固定電阻應用最多。而固定電阻以其制造材料又可分為好多類,但常用、常見的有RT型碳膜電阻、RJ型金屬膜電阻、RX型線繞電阻,還有近年來開始廣泛應用的片狀電阻。型號命名很有規律,R代表電阻,T-碳膜,J-金屬,X-線繞,是拼音的第一個字母。 
電阻器當然也有功率之分。常見的是1/4瓦的“色環金膜電阻”,它是電子產品和電子制作中用的最多的。電動車充電器器中用的到還有3瓦(W)的、2W的和1W的。當然在一些微型產品中,會用微型片狀電阻,它是貼片元件家族的一員,
2、電阻器的標識
有些直接標注的電阻,是很容易識別的。可是在裝配電子產品的時候,必須考慮到為以后檢修的方便,把標注面朝向易于看到的地方。在手工裝配時,多這一道工序,不是什么大問題,但是自動生產線上的機器沒有那么聰明。而且,電阻器元件越做越小,直接標注的標記難以看清。因此,國際上慣用“色環標注法”。事實上,“色環電阻”占據著電阻器元件的主流地位。“色環電阻”顧名思義,就是在電阻器上用不同顏色的環來表示電阻的規格。有的是用4個色環表示,有的用5個。區別是:4環電阻,一般是碳膜電阻,用3個色環來表示阻值,用 1個色環表示誤差。5環電阻一般是金屬膜電阻,為更好地表示精度,用4個色環表示阻值,另一個色環也是表示誤差。
色環電阻是應用于各種電子設備的最多的電阻類型,無論怎樣安裝,維修者都能方便的讀出其阻值,便于檢測和更換。但在實踐中發現,有些色環電阻的排列順序不甚分明,往往容易讀錯,在識別時,可運用如下技巧加以判斷:
技巧1:先找標志誤差的色環,從而排定色環順序。最常用的表示電阻誤差的顏色是:金、銀、棕,尤其是金環和銀環,一般絕少用做電阻色環的第一環,所以在電阻上只要有金環和銀環,就可以基本認定這是色環電阻的最末一環。
技巧2:棕色環是否是誤差標志的判別。棕色環既常用做誤差環,又常作為有效數字環,且常常在第一環和最末一環中同時出現,使人很難識別誰是第一環。在實踐中,可以按照色環之間的間隔加以判別:比如對于一個五道色環的電阻而言,第五環和第四環之間的間隔比第一環和第二環之間的間隔要寬一些,據此可判定色環的排列順序。 
技巧3:在僅靠色環間距還無法判定色環順序的情況下,還可以利用電阻的生產序列值來加以判別。比如有一個電阻的色環讀序是:棕、黑、黑、黃、棕,其值為:100×10000=1MΩ誤差為1%,屬于正常的電阻系列值,若是反順序讀:棕、黃、黑、黑、棕,其值為140×1Ω=140Ω,誤差為1%。顯然按照后一種排序所讀出的電阻值,在電阻的生產系列中是沒有的,故后一種色環順序是不對的。
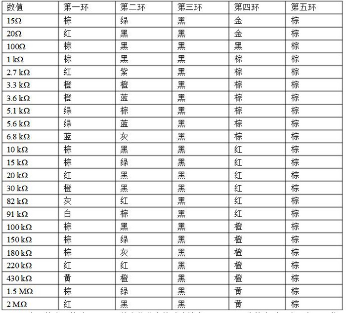
電動車充電器常用的電阻標準四環法前三環色標
電動車充電器常用的電阻標準五環法前四環色標
推薦資訊
- 2017-10-18XVE-金鑫宇電源專業生產充電器|電源適配器
- 2024-05-13金鑫宇電源參加第32屆中國國際自行車展覽會
- 2018-06-07金鑫宇電源亮相2018廣州國際照明展覽會(光
- 2018-05-162018中國(上海)國際自行車展覽會
- 2018-04-19號外:居然是它!金鑫宇滑板車充電器
- 2018-03-15金鑫宇充電器,手機充電速度快不快?
- 2018-03-12XVE免費拿樣!42V1.5A扭扭車平衡車鋰電池充電
- 2017-11-28金鑫宇電源新款X-1902充電器
- 2017-11-28金鑫宇電源:X-248W帶PFC充電器
- 2024-04-29第32屆中國國際自行車展覽會將在上海舉行
